| |   | |
-
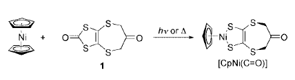
Neutral, Radical [CpNi(dithiolene)] Complexes with Flexible, Nonplanar Seven-Membered Rings: [CpNi{S2C2S2(CH2)2X}] (X = CH2, CF2, C=CH2, S, C=O)
M. Nomura, , P. Adkine and M. Fourmigué
European Journal of Inorganic Chemistry, 2006 (24) , 2006, p5012-5021
Keywords: nickel • S ligands • radicals • metallacycles • magnetic properties
DOI:10.1002/ejic.200600649 | unige:3634 | Abstract | Article HTML | Article PDF
|