|
Photophysics and Photochemistry of Transition Metal Compounds |
| Home Research Members Collaborations Publications |
Spin-crossover compounds and LIESST effect
1) Spectroscopic investigations of spin crossover systems
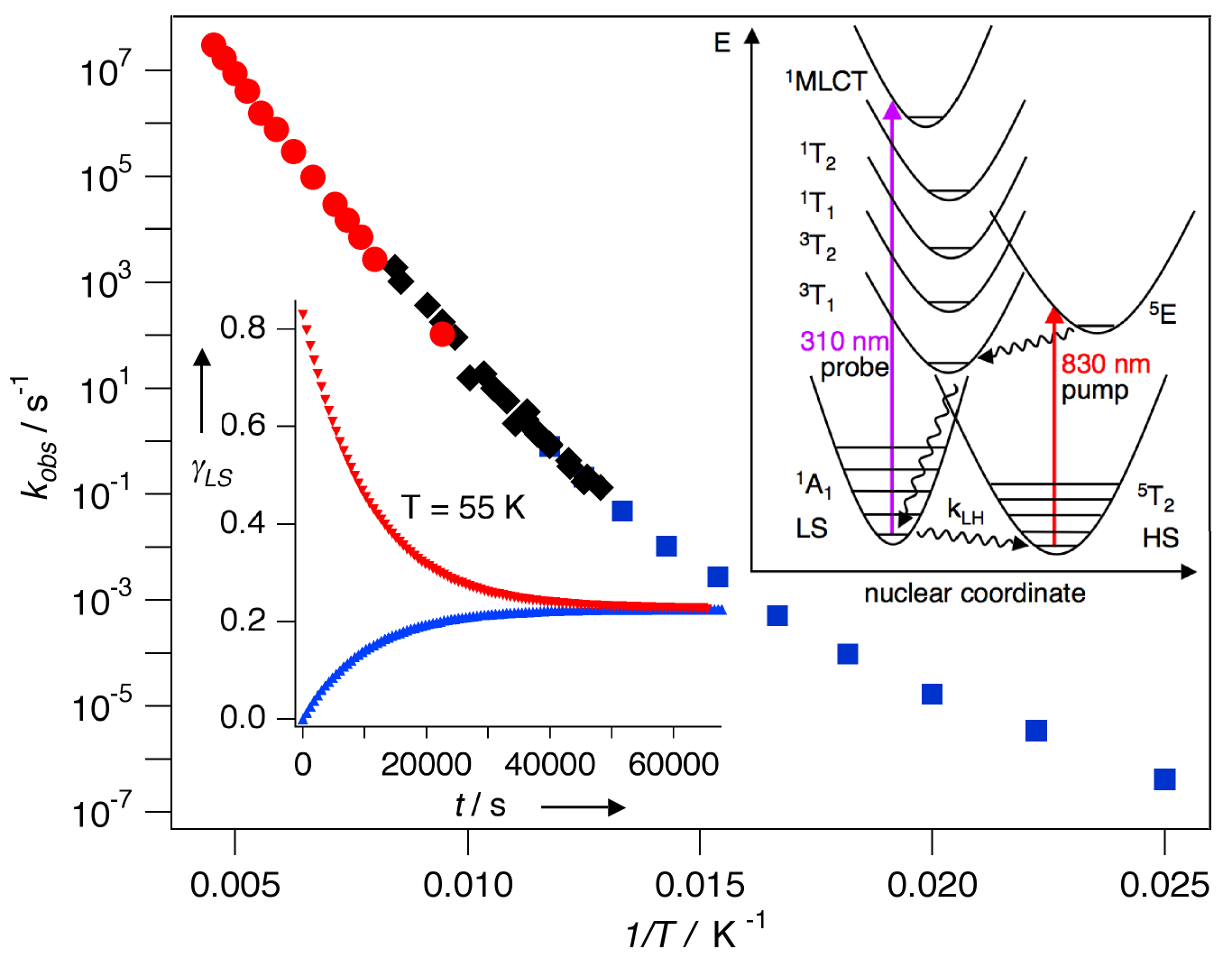
| Spin crossover systems, that is, octahedral complexes with a central transition metal having d4 - d7 electronic configuration are ideal for studying the dynamics of intersystem crossing. They show reversible optical bistability between the high-spin state and the low-spin state, having maximum and minimum spin multiplicity, respectively, when subjected to various perturbations such as temperature variation, external pressure, magnetic fields, and light irradiation. In the case of iron(II) based systems, the thermal spin transition takes place from the 1A1 low-spin (LS) state as the quantum mechanical ground state at low temperatures to the 5T2 high-spin (HS) state at higher temperatures and is largely entropy driven. This behavior is governed by the zero-point energy difference between the two spin manifolds. Besides the phenomenon of a thermal spin transition, it is also possible to control the HS and LS populations by irradiating with light of the appropriate wavelength. In the so-called Light Induced Excited Spin State Trapping (LIESST) effect, irradiation into dd or metal-ligand charge transfer (MLCT) bands of the LS species in the UV-vis range below the thermal transition temperature results in a quantitative population of the HS state with high quantum efficiency. The subsequent relaxation back to the LS ground state can then be followed by spectroscopic methods as a function of temperature up to the thermal transition temperature. At elevated temperatures, the HS->LS relaxation is thermally activated as expected for the large horizontal and the small vertical relative displacements of the potential wells of the two states and the ensuing energy barrier between them. However, at low temperatures deviations from the classical behavior towards a temperature independent rate constant indicate quantum mechanical tunneling in the shape of a non-adiabatic multi-phonon process. Moreover, it has also been shown that the reverse-LIESST phenomenon can also been performed by optical excitation into spin allowed dd band with a relatively low quantum efficiency which eventually allows us to probe the LS->HS relaxation dynamics as a function of different external perturbations like temperature, pressure, modulation of laser field probe etc. |
|
|
2) Theoretical understanding of the spin crossover (SC) phenomena Mean-field approximation and density functional theory are essential theoretical approaches in order to understand the thermal spin transition and relaxation behavior. However, the elastic models based on ball and string concept have initiated a new approach towards the understanding of the cluster formation during the spin transition. The elastic feature of interactions, together with the different volume of molecules in the two states, have been the premise for a series of recent works in continuous or open boundaries systems. It has been shown that only in open boundary systems the models can reproduce clusters, while in continuous systems this feature has not been observed. The elastic nature of interaction in spin crossover systems has been theoretically discussed in several studies: the larger volume of HS molecules induces elastic stresses in the crystalline network, thus changing the probability of other molecules to switch to the HS state on increasing temperature. This effect is described as an "elastic interaction" between the molecules and is usually modeled as a superposition of two components: a short-range interaction, statistically distributed, and a long-range interaction proportional to the average number of HS molecules per unit volume. While the short-range interactions depend on shape and distance between neighbor molecules and can be correlated to the existence of covalent bonds, the long-range interactions are purely of elastic nature and are mediated by the lattice. |
|
3) Application towards the spin-crossover nanoparticles Spin crossover nanoparticles are one of the most exciting topics in order to understand the insight of the spin relaxation dynamics and the elastic interactions via cooperative effect as a function of size. The experimental goal is then to establish the eventual size dependence limit of cooperative phenomena. |
Return to Research |
Last modified 2017/11/13 by ES