Cosmic radiation fields

In the range of the visible, the Extragalactic Background Light (EBL) is the cumulative light emitted by stars forming galaxies and AGNs, then reprocessed by surrounding gas and emitted in the infrared during their existence. It informs us on the evolution of star formation and AGN activity, and possibly on other unaccounted sources of light during the history of the cosmos. The EBL can be measured accurately by CTAO, from the absorption of injected gamma rays by sources on the way to us due to interactions with the EBL. This measurement addresses the questions : Is the expansion rate deducible from it in agreement with the early or local universe measurements of the Hubble constant? How did star formation and AGN population evolve?

The Universe is not transparent above 100 GeV, as gamma-rays interact with visible or infrared photons, and convert into a pair of electron and positron. This reaction suppresses the gamma-ray flux from distant sources. The suppression gets stronger with increasing distance, so that far-away sources are undetectable, defining a "gamma-ray horizon". While in the Fermi-LAT experiment working from 100 MeV to 300 GeV measures the most distant blazar B3 1428+422 at a redshift of z = 4.72, CTAO will be more limited in its horizon to values of z ∼ 2, where the role for accessing this region will strongly depend on the ability to push the energy threshold of the LSTs down to 10 GeV with modern analysis methods based on machine learning. The modification of the flux from distant sources due to the energy-dependent absorption of gamma-rays allows measuring the EBL properties and its evolution with time. CTAO will be able to observe many more AGNs and GRBs than its precursors. Gamma-ray observations provide information on the star formation history, evolution of the AGN population and on possible unconventional sources of visible, infrared and ultraviolet light, such as decays of dark matter particles.

This indirect measurement is interesting since the EBL is difficult to measure directly because the sky is illuminated by the much stronger Zodiacal light from dust in the solar system. The EBL from gamma-ray observations has some tension with direct measurements, possibly indicating that the correction for the Zodiacal light to direct measurements needs improvements or that our understanding of gamma-ray propagation is incomplete. This might hint at an unaccounted new physical process (such as the conversion between gamma-rays and axion-like particles) which could increase the transparency of the Universe to gamma-rays. It is also possible that the EBL spectrum has additional unforeseen components, like the emission from decaying dark matter particles, not yet been considered. The measurement of the EBL by CTAO is sensitive to the expansion rate of the Universe. An independent measurement of this rate is important because it can help to resolve the “Hubble constant tension”, the debated inconsistency between various H0 measurements that may point to the incompleteness of the currently accepted cosmological model. The expected precision of the H0 constant measurement by CTAO has been recently discussed in a CTAO paper, with other cosmology topics of interest [arXiv:2008.07754]. CTAO will enable a measurement of γ-ray absorption on the EBL with a statistical uncertainty below 15% up to a redshift z = 2.

CTA-optDepth-redshift.png
The CTAO precision on the optical depth versus redshift of EBL photons for 839 hr of observation of CTAO [arXiv:2008.07754]

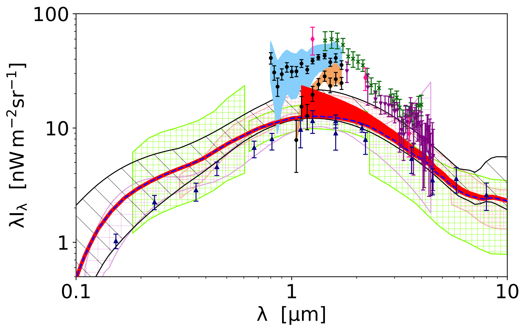
CTA-EBL.png
Comparison of EBL direct measurements (upper data points) with estimates from gamma-ray observations (shaded regions) and lower bounds from galaxy counts (lower data points). The red shaded range shows possible additional EBL component from axion-like particles [arXiv:1911.13291].

CTA-H0.png
Current overview of H0 measurements [arXiv:2008.07754]