Supernova remnants

The Galaxy is crossed by ionised nuclei of incredible energies (hadronic cosmic rays), corresponding to the temperature that the Universe had during the big bang, before hadrons formed in the Universe. CTAO will discover the accelerators of these particles. Which are the sources of cosmic rays in the galaxy and can they explain the CR spectrum at PeV energies? What are the accelerating mechanisms explaining the observed CR and gamma- ray source spectra? How do CRs emerge from sources in interstellar space? Where is the transition between galactic and extragalactic CRs? Why do CRs carry as much energy per unit volume in galaxies as that in starlight, interstellar magnetic elds, or motions of interstellar gas?

The CR spectrum is largely dominated by protons up to the so-called knee (found at Z x 1 PeV, where Z is the CR charge). Above the proton knee at 1 PeV, their chemical composition becomes heavier and the spectrum steepens. To maintain their intensity, galactic sources must inject in the form of accelerated particles a power or luminosity about 8 orders of magnitude larger than that of the Sun, namely about 1041 erg/s. For years, the scientific community largely accepted that the galactic supernova remnants (SNRs) can be responsible for the acceleration of the bulk of galactic CRs, as about 10% of their ejecta can provide this power, as pointed out by the famous Swiss astronomer F. Zwicky in 1934. Nonetheless, many new potential accelerators such as pulsar wind nebulae (PWNs), stellar clusters, binary stars, and transient sources such as novae have been discovered by the new generation of experiments.

SNRs remain strong accelerator candidates but it remains to be understood why the maximum energy of the particles accelerated in SNRs achieve an energy 10 times smaller than the observed knee, limited by the lifetime of the shock. Additionally, the spectra of these sources do not match those predicted by the Diffusive Shock Acceleration (DSA) theory, a subclass of the Fermi acceleration mechanisms formulated in 1949. The so-called first-order mechanism in the velocity of the shock is considered the most efficient process to transfer a small percentage of the star explosion energy into particle acceleration. This problem challenges plasma physicists, who, to explain the observed spectra, introduced magne tic eld amplification effects. These can be provided by the growth of instabilities at different scales, like acoustic instabilities in an inhomogeneous medium, involving charged particle current and magnetic field resonant streaming instabilities. Other studies are performed on turbulent phenomena such as magnetic reconnection or density fluctuations in turbulent magnetised plasma. Modi ed DSA theories are benchmarked by detailed studies of shock morphologies. CTAO will observe SNRs with a sensitivity increased by a factor of 5-10 with respect to current experiments and up to the other side of the Galaxy. The increased energy coverage towards lower and higher energies will allow sensitive tests of acceleration models and determination of their parameters and might allow identifying the signature of neutral pion decay in the high-energy end of their spectral emission distributions (SEDs), hence allowing to identify, in synergy with neutrino telescopes, CR sources. Examples of candidate hadronic SNRs are emerging, typically most efficient in the first few 100 yr of their shock life, as for the Cas A. PWNs surrounding pulsars are another abundant source of high-energy particles, including potentially high-energy nuclei. Energy conversion within pulsar winds and the interaction of the wind with the ambient medium and the surrounding supernova shell challenge current ideas in plasma physics. The recent discovery by LHAASO of a dozen regions in our Galaxy emitting PeV gamma rays has stimulated even more interest to unveil the origin of galactic CRs. These regions have been associated with known counterparts potentially capable of accelerating particles to relativistic energies. In some cases, such regions are particularly extended and led to the discovery of pulsar halos. One of these sources was recently observed by the first LST of CTAO and by other facilities, allowing scientists from the UniGe to develop a leptonic model of the source calling for a population of diffuse sources to explain the highest energy galactic CRs.

CTA-SED-CassA.png
Spectral energy distribution of Cassiopeia A, a 320 yr-old SNR. The pion decay model tracing protons (blue line) best fits the MAGIC data [arXiv:1707.01583]

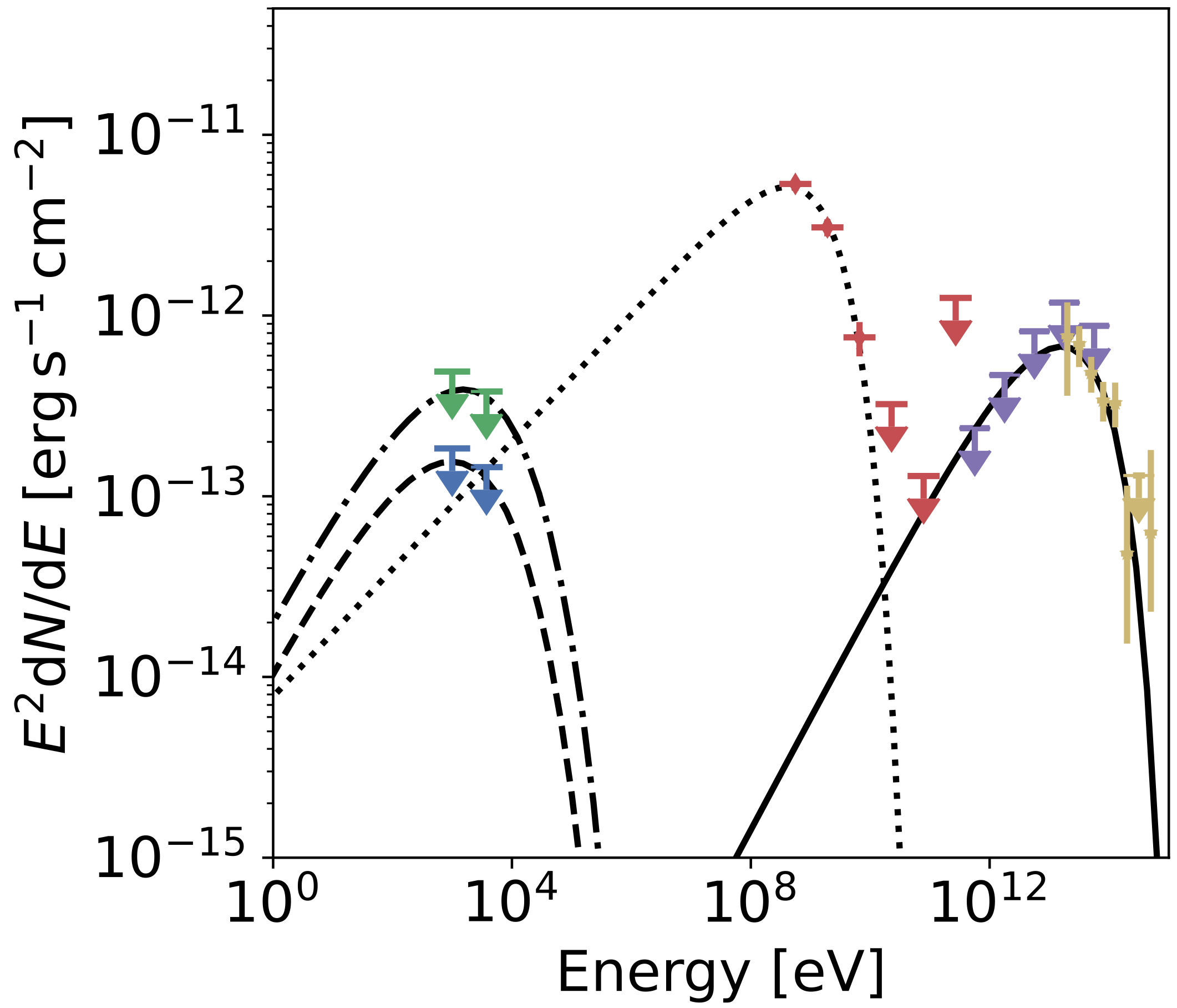
CTA-LHAASOJ2108.png
Spectral energy distribution of LHAASO J2108+5157. Yellow points are LHAASO data; violet points are upper limits (UL) at 2σ from LST; red points from Fermi-LAT on top of a pulsar emission model (dotted line) and a leptonic model of synchrotron (dashed) and inverse Compton (solid line) constrained by the XMM-Newton UL at low-energy to a magnetic eld < 2 μG [arXiv:2210.00775].