GROUPE COUGNON
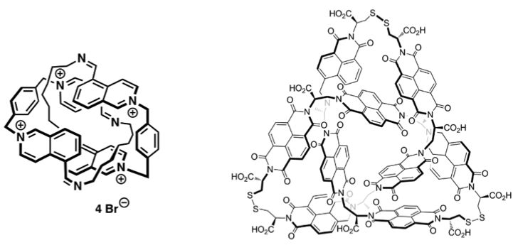
Notre laboratoire au Département de Chimie Organique est intéressé par la synthèse de molécules en forme de nœud. En dehors de leur attrait visuel, ces nano-nœuds seront utilisés pour créer des molécules intelligentes qui ont la propriété de s’adapter aux changements d’environnement. Ils peuvent notamment être utilisées comme de toutes petites machines de la taille d’une molécule.

La formation offerte dans notre laboratoire est très complète pour un(e) apprenti(e) laborantin(e) en chimie, puisqu’elle comprend de la synthèse chimique ainsi que l’utilisation de méthodes analytiques variées pour la caractérisation et la purification de composés. L’apprenti(e) sera exposé(e) à un environnement international au sein de l’Université et l’utilisation courante de l’anglais est favorisée dans le laboratoire.


